Technologie Magnetyczne

Strona główna Oferta Technologie Magnetyczne

Oferta – Technologie magnetyczne w Łukasiewicz–ITR

Łukasiewicz–Instytut Tele- i Radiotechniczny oferuje kompleksowe rozwiązania w zakresie technologii magnetycznych, obejmujące projektowanie, wytwarzanie, badania oraz symulacje numeryczne materiałów i komponentów magnetycznych. Nasze doświadczenie i zaplecze laboratoryjne pozwalają realizować projekty o wysokim stopniu zaawansowania – od pojedynczych elementów po kompletne układy elektromagnetyczne, dostosowane do potrzeb przemysłu i instytucji badawczych.

W ramach oferty realizujemy:

🔹 Wytwarzanie magnesów trwałych typu Nd-Fe-B
Produkujemy magnesy z proszku stopu Nd-Fe-B o wymiarach i parametrach magnetycznych określonych przez Klienta. Oferujemy różnorodne kształty: walcowe, prostopadłościenne, pierścieniowe oraz wycinki pierścienia. Każdy element może być magnesowany zgodnie z indywidualnymi wymaganiami, co pozwala na optymalne dopasowanie do zastosowań przemysłowych, naukowych i specjalnych.

🔹 Wytwarzanie magnetycznych kompozytów proszkowych (SMC)
Wykonujemy miękkie kompozyty magnetyczne typu Soft Magnetic Composites (SMC) z proszku żelaza spajanego dielektrykiem. Elementy te charakteryzują się niskimi stratami magnetycznymi, wysoką gęstością oraz możliwością pracy przy wysokich częstotliwościach. Dostępne są formy walcowe, prostopadłościenne, pierścieniowe i segmentowe.

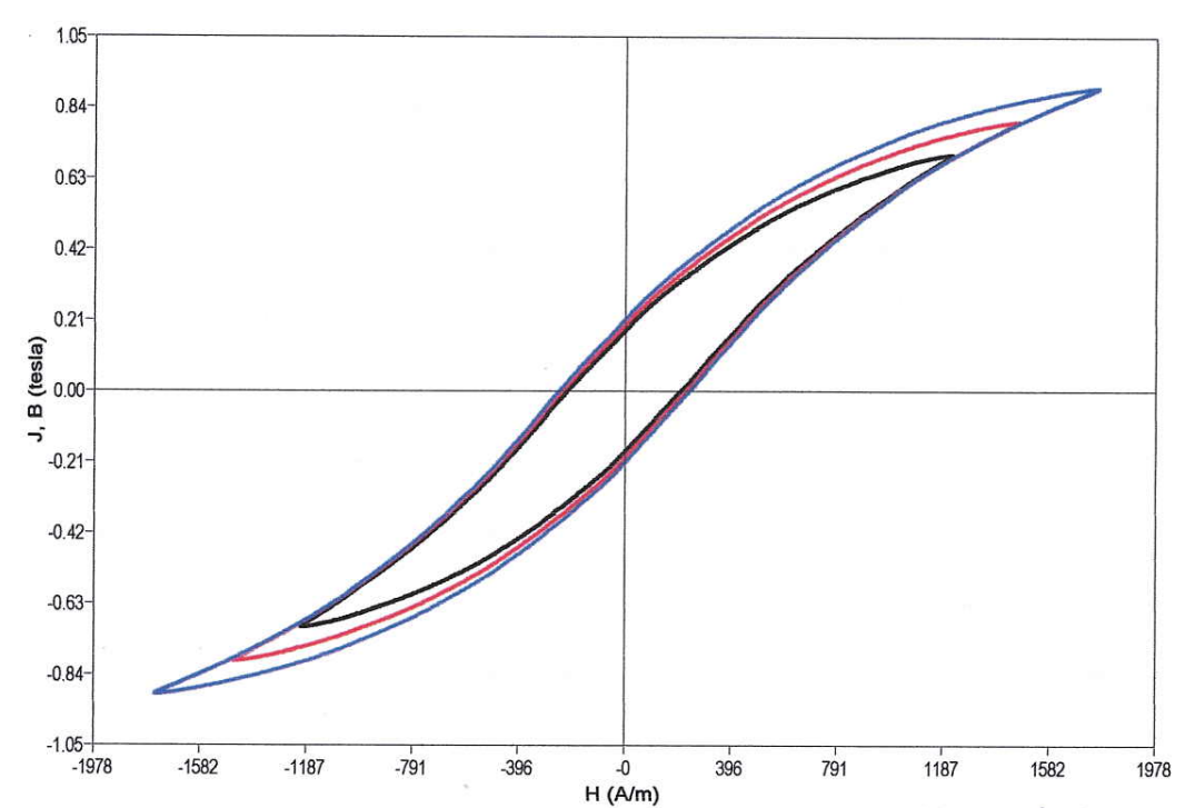
🔹 Usługi technologiczne i pomiarowe

  • Magnesowanie impulsowe w polu magnetycznym do 7 T

  • Badanie właściwości magnesów trwałych zgodnie z normą IEC 60404-5 (remanencja, koercja, gęstość energii magnetycznej)

  • Badanie materiałów magnetycznie miękkich wg IEC 60404-4IEC 60404-6 (DC/AC do 20 kHz)

  • Pomiary indukcji magnetycznej do 2 T (pole stałe i zmienne do 10 kHz)

  • Pomiary twardości metodą Brinella w zakresie 3–650 HB zgodnie z PN-EN ISO 6506-1

🔹 Symulacje numeryczne MES
Oferujemy trójwymiarowe symulacje pola elektromagnetycznego metodą elementów skończonych (MES) z wykorzystaniem oprogramowania ANSYS Maxwell 15FEMM 4.2. Wykonujemy analizy pola magnetycznego i elektrycznego dla urządzeń, czujników, napędów oraz systemów elektrotechnicznych, wspierając proces projektowania i optymalizacji konstrukcji.

Dzięki połączeniu kompetencji badawczych, inżynierskich i technologicznych, Łukasiewicz–ITR stanowi centrum kompetencji w dziedzinie technologii magnetycznych, oferując partnerom przemysłowym i naukowym pełne wsparcie – od pomysłu po gotowy produkt.

This will close in 0 seconds